Given the head of a linked list and a value x, partition it such that all nodes less than x come before nodes greater than or equal to x.
You should preserve the original relative order of the nodes in each of the two partitions.

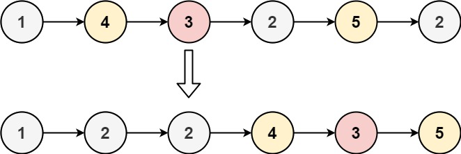
solution
Once you visualize this one, it’s pretty self-explanatory. We construct two linked lists for the left and right half as we iterate through it with a cur pointer. Connect them up at the end.
def partition(self, head: Optional[ListNode], x: int) -> Optional[ListNode]:
if not head or not head.next:
return head
left_dummy = ListNode()
right_dummy = ListNode()
cur = head
lc, rc = left_dummy, right_dummy
while cur:
if cur.val < x:
lc.next = cur
lc = lc.next
else:
rc.next = cur
rc = rc.next
cur = cur.next
lc.next = right_dummy.next
rc.next = None
return left_dummy.next