You are given the head of a linked list, and an integer k.
Return the head of the linked list after swapping the values of the kth node from the beginning and the kth node from the end (the list is 1-indexed).

solutions
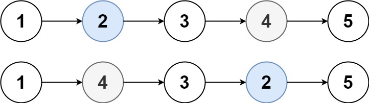
swapping values
This is what they ask for, and is pretty straightforward with a slow and fast pointer approach.
def swapNodes(self, head: Optional[ListNode], k: int) -> Optional[ListNode]:
# find kth node and prev of it
# find kth node from end and prev of it
if not head.next:
return head
fast = head
# find node k
for _ in range(k-1):
fast = fast.next
c1 = fast
slow = head # slow on head (1)
while fast.next:
slow = slow.next
fast = fast.next
c2 = slow
c1.val, c2.val = c2.val, c1.val
return headactually swapping
If instead we need to actually swap the nodes, we can make use of a dummy node to avoid some edge cases, and also store the respective previous nodes for each node we’re swapping.
Note that we need to handle the edge cases where the two nodes are adjacent.
def swapNodes(self, head: Optional[ListNode], k: int) -> Optional[ListNode]:
# find kth node and prev of it
# find kth node from end and prev of it
dummy = ListNode()
dummy.next = head
slow = fast = c1 = c2 = p1 = p2 = dummy
# find kth node and prev of it
for _ in range(k):
p1 = fast
fast = fast.next
c1 = fast
# find kth from end and prev
while fast:
p2 = slow
fast = fast.next
slow = slow.next
c2 = slow
# adjacent edge cases
if c1.next == c2:
p1.next = c2
c1.next = c2.next
c2.next = c1
elif c2.next == c1:
p2.next = c1
c2.next = c1.next
c1.next = c2
else:
n1, n2 = c1.next, c2.next
p1.next = c2
c2.next = n1
p2.next = c1
c1.next = n2
return dummy.next